- Méthode de Monte Carlo
- Validation de formules analytiques
Cette section illustre le potentiel applicatif de la MMC comme outil d’évaluation des facteurs de forme. La source, ici un panneau radiant de 10 m par 10 m, est découpée en surface élémentaires (10×10)
d'où sont émis un grand nombre de quanta interceptés ou non par des bandes élémentaires situées dans le plan faisant un angle Φ avec le panneau. Le rapport entre le nombre de quanta reçus et envoyés permet de calculer la valeur du facteur de forme en fonction de la distance x par rapport au bord du panneau.
Cette méthode permet, entre autres, de vérifier la validité des formules analytiques ou des abaques proposés pour certaines configurations géométriques [2]. Ces facteurs de forme sont largement utilisés en sécurité incendie pour évaluer l’impact radiatif d'un feu sur les structures environnantes. La méthode développée permet de calculer plus précisément les niveaux d'exposition au rayonnement infra-rouge [3].
- Calculs de facteurs de forme pour des scènes à géométries complexes
Cette méthode s'avère indispensable pour les configurations qui ne possèdent pas de solution analytique. Des scènes complexes peuvent être modélisées (multi-objets, milieu absorbant et/ou diffusant, ...) pour lesquelles l'utilisation de formules
analytiques n'est pas envisageable. Cette méthode a également permit d'optimiser le placement d'antennes utilisées dans un système de détection d'incendie [4] en cartographiant sur un Modèle Numérique de Terrain (MNT) le rayonnement émit par une antenne (assimilée à un point source d’émission isotrope) située à 10m au dessus du sol (Fig-2b).
| Fig-2a Champ d'iso-facteur de vue calculé par la MMC. La flamme a une longueur Lf=6m, un rayon Rf=1m et est inclinée d'un angle αf=45°. | Fig-2b Estimation de la couverture d'une antenne par la MMC. La résolution du MNT est de 50m. Les zones couvertes par l'antenne apparaissent en bleu-vert, les zones non couvertes en violet. |
- Génération d'abaques de facteur de forme
Cette méthode a été couplée à un modèle de propagation de feux de forêt (cf. section suivante). Dans le but de réduire le temps de calcul et de rendre le modèle opérationnel pour la lutte (simulation en temps réel ou 'super-real time') ou être utilisé pour réaliser des études statistiques de risque, des abaques sont générés. Un certain nombre de simulation sont effectuées couvrant l'ensemble des combinaisons de paramètres (Lf, Rf, αf) voulu (Fig-3a). Pour chacune des simulations, les iso-facteurs de forme (nombre et distribution paramétrables) sont approximés par des ellipses (Fig-3b) à l'aide d'une méthode inverse basée sur le principe des algorithmes génétique (cf. section suivante).
|
| |
| Fig-3a Iso-facteur de vue pour l'ensemble des configuration traitées. 0.5m<Rf,<2.5m, 1m<Lf,<10m, 0°<αf.<60°. | Fig-3b Évolution au cour des générations des ellipses pour le cas correspondant au jeu de paramètre Rf,=1.5m, Lf,=5m, αf.=65°. |
Les paramètres d'ellipse (grand rayon, petit rayon et distance base cylindre-centre de l'ellipse) sont tabulés et permettent de calculer le flux reçu par n'importe quel élément de surface horizontal situé sur le plan passant par la base de la flamme. Dans le cas d'un couplage de la méthode avec un modèle de propagation, cette surface représente la canopée. Ainsi le flux radiatif émit par un élément du front (flamme solide) et reçu par un élément végétal (sommet du site) est calculé environ 100 fois plus rapidement qu'en utilisant la méthode de référence (MMC).
- Méthode des ordonnées discrètes
Dans la pratique on a recourt à des méthodes moins gourmande en temps de calcul, notamment pour la résolution de l’Équation de Transfert Radiatif (ETR). Une méthode largement utilisée est la Méthode des Ordonnées Discrètes (MOD) qui consiste à discrétiser le
domaine angulaire à l'aide de quadratures numériques, ici SN (Level
Symmetric Quadratures). Le cas présenté est celui d’une cavité cubique de
longueur 1m dont les parois sont grises et parfaitement diffusantes
d’émissivité 0.5. La cavité contient un gaz gris homogène de coefficient
d’absorption 1m-1. Une température T0=300K est imposée sur les six faces de
la cavité et une distribution Gaussienne est imposée au champ de
température du milieu
T(x,y,z)=exp[-(x-x0)^2-(y-y0)^2-(z-z0)^2]DeltaT+T0, avec x0=y0=z0=0.25 et
DeltaT=10K (Fig-4). Les calculs sont effectués sur un maillage
uniforme de 42^3 cellules. Les résultats de référence ont été obtenus
par simulation Monte Carlo. Les simulation ont été effectuées avec les
quadratures S6, S8 et S10.
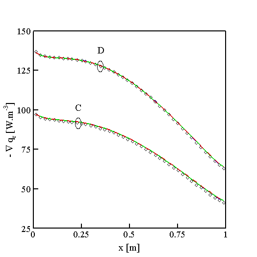
Fig-4 Iso-surfaces correspondant aux températures 303, 306 et 309K représentant le champs de température imposé. Lignes le long desquelles sont extraites le flux radiatif net pariétal A (x, 0.25 m, 1 m) et B (x, 0.25 m, 0 m) ainsi que la divergence du flux radiatif C (x, 0.25 m, 0.25 m) et D (x, 0.25 m, 0.75).
|
|
|
| Fig-5a Flux radiatif net sur la paroi supérieure le long de la ligne y=0.25 m, z=1 m (A) et sur la paroi inférieure le long de la ligne y=0.25 m, z=0 m (B). | Fig-5b Divergence du flux radiatif le long de la ligne y=0.25 m, z=0.25 m (D) et le long de la ligne y=0.25 m, z=0.75 m (C). |
Les
résultats montrent un très bon accord entre les simulations Monte Carlo
et celles effectuées avec la MOD, que ce soit les flux
pariétaux (Fig-5a) ou les termes sources radiatif (Fig-5b).
Toutefois, l’hypothèse simplificatrice d’un gaz fictif gris conduit
fréquemment à des erreurs importantes car le transfert radiatif dans un
milieu semi-transparent et, en particulier, dans un milieu gazeux,
dépend des propriétés radiatives du fluide qui varient avec la longueur
d’onde, la température et la concentration (ou pression partielle) de
l’espèce rayonnante. En effet, les spectres d’absorption des gaz
présentent une dynamique extrêmement forte car constitués de plusieurs
dizaines de milliers de raies, d’intensité et d’espacement variables,
avec de multiples zones de quasi-transparence entre elles. Pour ces
raisons, aucun gaz (réel) ne peut être correctement représenté par un
modèle de gaz gris, dans lequel on considérait une valeur moyenne du
coefficient d’absorption sur tout le spectre, notamment à cause des
corrélations spectrales entre phénomènes d’absorption et d’émission.
- Modélisation des propriétés radiatives de gaz
Pour caractériser les
propriétés radiatives d'un gaz, un certain nombre de modèles, plus ou moins complexes,
précis et couteux en temps de calcul, ont été élaboré. Le modèle
raie-par-raie permet un calcul quasi exact des propriétés radiatives.
D’une très grande précision il occasionne des temps de calcul trop
important pour envisager son utilisation dans des calculs couplés. Les
modèles de bande permettent de réduire le temps de calcul en moyennant
les propriétés radiatives des gaz sur des intervalles de nombre d’ondes
(bandes spectrales). En fonction de la largeur de ces intervalles
spectraux, on peut distinguer deux classes de modèles: les modèles à
bandes étroites (dont le modèle SNB) et les modèles à bandes larges.
Enfin, des modèles dits globaux ont été développés pour diminuer le
temps de calcul, en dégradant les informations d'un point de vue
spectrale. Le plus simple d'entre eux est le modèle de gaz gris pour
lequel les propriétés radiatives du milieu sont constantes sur tout le
spectre. Le gaz est alors décrit par un coefficient moyen d’absorption
indépendant de la longueur d'onde. Le modèle nommé WSGG (Weighted Sum of
Gray Gases) consiste à remplacer le gaz réel par une somme pondérée de
gaz gris. Les coefficients d'absorption et leurs poids respectifs sont
obtenus par optimisation en ajustant l’émissivité totale d’une colonne
de gaz de propriétés données (largeur, température, pression) aux
prédictions d’un modèle de référence (SNB par exemple). Celui-ci est utilisé pour identifier les propriétés, en termes de température et composition, de différentes flammes (cf. section Méthode inverse). Plus précis tout
en restant 'économique', ce modèle ne rend pas correctement compte du
comportement spectral des gaz (fortement dépendant de la température)
ainsi que de la variation de la concentration de l’espèce absorbante, ce
qui limite son application aux milieux homogènes. Le modèle SLW
(Spectral Line-Based Weighted-sum-of-gray-gases) est une version
améliorée du modèle WSGG. Les coefficients de pondération sont
déterminés par des fonctions de distribution du coefficient d’absorption
pondérée par la fonction de Planck calculées à partir de la base de
donnés spectroscopique HITRAN. Les coefficients d’absorption ne sont pas
uniformes mais peuvent varier localement avec la concentration et la
température de l’espèce rayonnante. Bien que ce modèle repose sur
l’hypothèse d’un comportement idéal des spectres de gaz, ce qui n’est
valable théoriquement que pour des gradients de température modérés, de
très bons résultats ont été obtenus - par comparaison au calcul
raie-par-raie - pour le dioxyde de carbone et la vapeur d'eau avec des
variations de températures de +/- 750 K autour de 1250 K. Plusieurs
auteurs ont montrés que le modèle SLW offre un excellent compromis entre
précision et temps de calcul. Celui-ci est utilisé pour étudier l'effet du rayonnement sur la transition laminaire/turbulent dans une cavité différentiellement chauffée (cf. section Mécanique des fluides).
References
[1] D.C. Hamilton, W.R. Morgan. "Radiant-interchange configuration factors". 1952, NASA TN 2836.
[2] http://www.engr.uky.edu/rtl/Catalog/sectionb/B-78.html
[3] Y. Billaud, A. Kaiss, J-L. Consalvi, B. Porterie. "Monte Carlo Estimation of Thermal Radiation from Wildland fires". International Journal of thermal sciences. 2011, Volume: 50, Pages : 2-11.
[4] http://yann-billaud.blogspot.fr/p/blog-page_3.html








